СОР № 1 Алгебра 11ОГН класс Степени и корни. Степенная функция
Назад
Алгебра - 11ОГН класс, Русский 🇷🇺 2 четверть
Степени и корни. Степенная функция
Задание:
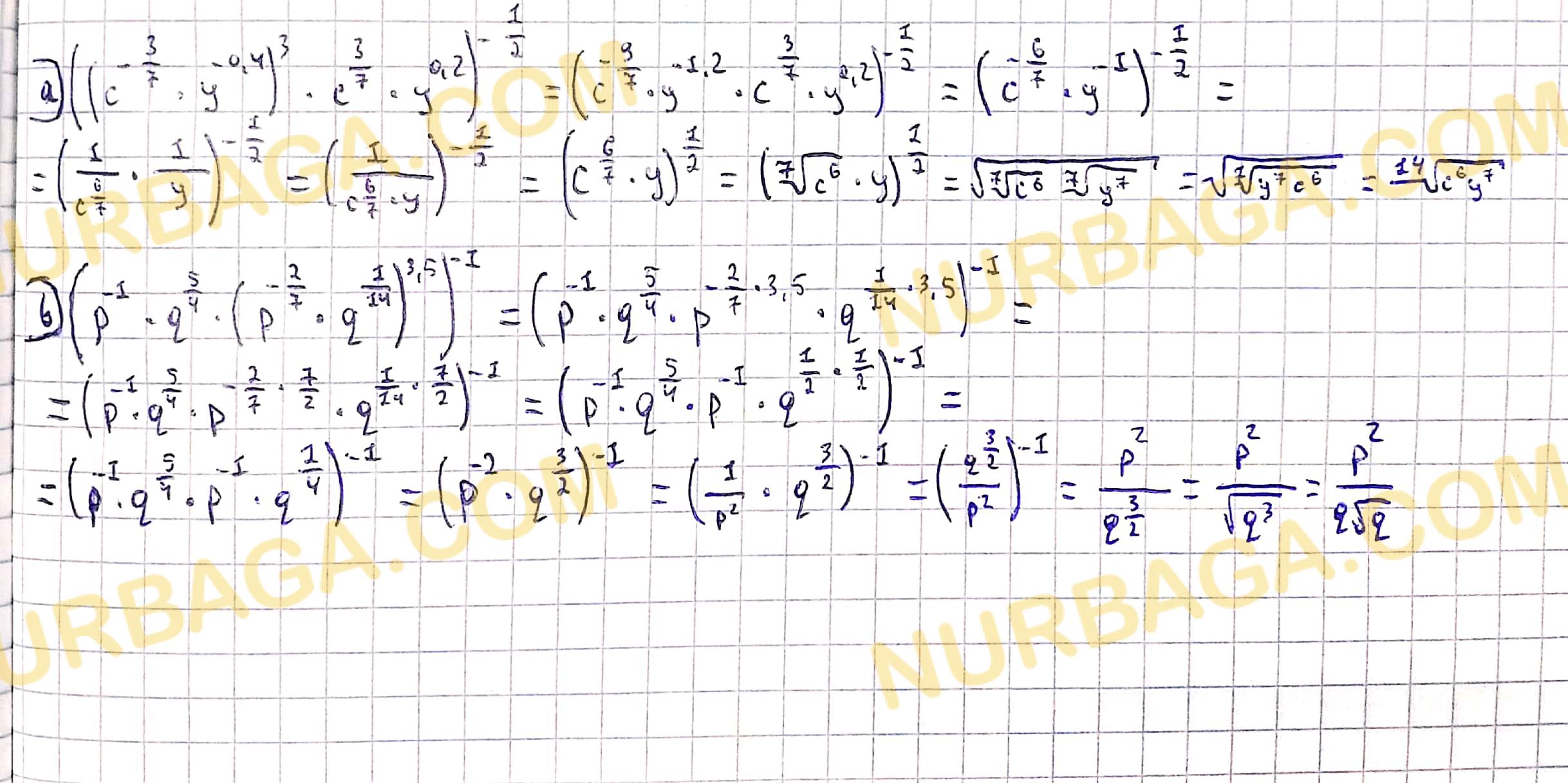
Упростите выражение:

Степени и корни. Степенная функция
Упростите выражение:
