СОР № 1 Физика 7 класс Условие равновесия рычага
Назад
Физика - 7 класс, Русский 🇷🇺 4 четверть
Условие равновесия рычага
Задание:
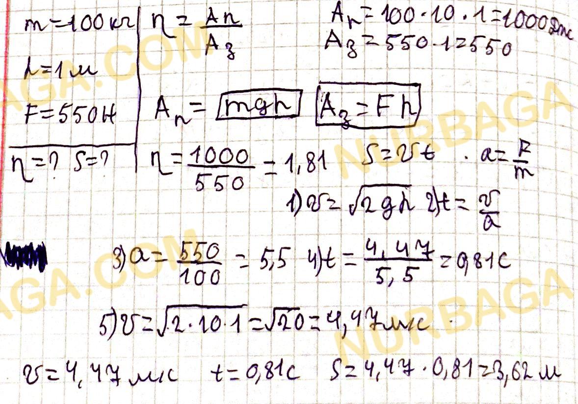
Какую минимальную силу нужно приложить, чтобы с помощью подвижного блока поднять груз массой 100 кг? Каково КПД блока, если груз подняли на высоту 1 м, прикладывая 550Н? На сколько при этом сместился конец веревки, за которую тянет рука?

Решение:
