NURBAGA.COM
Политика конфиденциальности
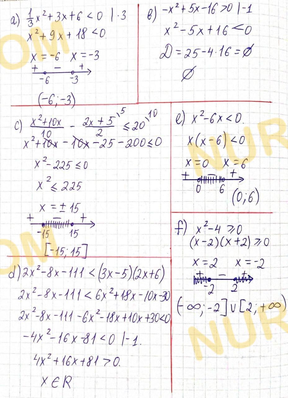
СОР № 1 Алгебра 8 класс Неравенства
Назад
Алгебра
- 8 класс, Русский 🇷🇺
4 четверть
Неравенства
Задание:
Решите неравенства
Решение:
Выбери класс и предмет
Выбери класс
5 класс
6 класс
7 класс
8 класс
9 класс
10ОГН класс
10ЕМН класс
11ОГН класс
11ЕМН класс
Выбери предмет
-
Алгебра
Английский язык
Биология
Всемирная История
География
Геометрия
Графика и проектирование
Естествознание
Информатика
История Казахстана
Казахская литература
Казахский язык
Казахский язык и литература
Математика
Основы права
Русская литература
Русский язык
Русский язык и литература
Физика
Химия
Выбери номер СОРа
Все
1
2
3
4
5
6
Выбери четверть
1
2
3
4
Выбери язык
Русский
Қазақша
Найти СОР\СОЧ