СОР № 1 Алгебра 9 класс Тригонометрия

Назад
Алгебра - 9 класс, Русский 🇷🇺 4 четверть

Тригонометрия

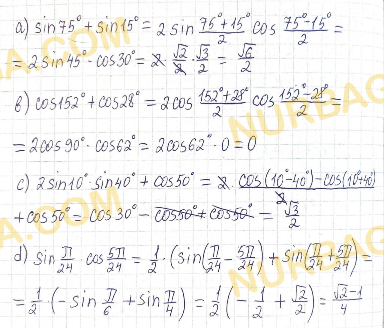
Задание:

Вычислите:

Решение: